| Sample | Species | Condition | Time Point | Replicate | Status |
|---|---|---|---|---|---|
| W10 | Mouse | WT | 0 | 1 | Preadipocyte |
| W20 | Mouse | WT | 0 | 2 | Preadipocyte |
| D10 | Mouse | DKO | 0 | 1 | Preadipocyte |
| D20 | Mouse | DKO | 0 | 2 | Preadipocyte |
| W16 | Mouse | WT | 6 | 1 | Adipocytes |
| W26 | Mouse | WT | 6 | 2 | Adipocytes |
| D16 | Mouse | DKO | 6 | 1 | Adipocytes |
| D26 | Mouse | DKO | 6 | 2 | Adipocyte |
scRNAseq sra files (PRJNA796303) can be accessed at link to raw data
The tsv table was downloaded from ENA: PRJNA796303_tsv.txt. Links to sra files were extracted from that file by code:
awk 'NR>1{print $9}' PRJNA796303_tsv.txt | awk '{gsub(/\;/,"\n")};{print $0}' >download3.sh
The download3.sh file contained following links:
ftp.sra.ebi.ac.uk/vol1/srr/SRR175/087/SRR17555087
ftp.sra.ebi.ac.uk/vol1/srr/SRR175/088/SRR17555088
ftp.sra.ebi.ac.uk/vol1/srr/SRR175/090/SRR17555090
ftp.sra.ebi.ac.uk/vol1/srr/SRR175/083/SRR17555083
ftp.sra.ebi.ac.uk/vol1/srr/SRR175/084/SRR17555084
ftp.sra.ebi.ac.uk/vol1/srr/SRR175/086/SRR17555086
ftp.sra.ebi.ac.uk/vol1/srr/SRR175/089/SRR17555089
ftp.sra.ebi.ac.uk/vol1/srr/SRR175/085/SRR17555085
sra files were downloaded by following command:
wget -i download3.sh
Next, each sra file was split on 3 files:
for sample in $(cat /data/mice/PRJNA796303/unique_samples); do
fastq-dump --split-files --gzip $sample --outdir /data/mice/PRJNA796303/rawData
done
3 files correspond to each sample:cellranger was used to map reads to mouse genome:
for sample in $(cat /data/mice/PRJNA796303/unique_samples); do
cellranger count --id=$sample \
--fastqs=/data/mice/PRJNA796303/rawData \
--sample=$sample \
--no-bam \
--transcriptome=/data/mice/PRJNA796303/refdata-gex-GRCm39-2024-A;
done
unique_samples contains following names:cell ranger output files were transferred to local computer and analyzed in Seurat 5.1.0 (Bioconductor 3.19)
library(SCINA)
library(cerebroApp)
library(msigdb)
library(scmap)
library(celldex)
library(SingleR)
library(Seurat)
library(hdf5r)
library(gdata)
library(Matrix)
library(DropletUtils)
library(patchwork)
library(harmony)
library(SoupX)
library(glmnet)
library(ComplexHeatmap)
library(ggplot2)
library(dplyr)
library(EBImage)
library(glmGamPoi)
library(tibble)
library(repr)
library(purrr)
Generally, cellranger output files can be read into Seurat with two methods
Read10X() and Read10X_h5(). The Read10X() accepts data from the filtered_feature_bc_matrix folder. That folder has 3 files: barcodes.tsv.gz, features.tsv.gz, and matrix.mtx.gz. The Read10X_h5() method accepts data in Hierarchical Data Format 5 (HDF5). This data format is designed to store large amount of data. I use the Read10X_h5() method. The hdf5r package reads hdf5 files. First, we need to get list of all .h5 files in the output directory:
files <- list.files(path="/Users/alexeyefanov/Desktop/Programming/biobase/GSE193462/output",recursive=T,pattern="*.h5")
files
'D10/filtered_feature_bc_matrix.h5''D16/filtered_feature_bc_matrix.h5'
'D20/filtered_feature_bc_matrix.h5''D26/filtered_feature_bc_matrix.h5'
'WT10/filtered_feature_bc_matrix.h5''WT16/filtered_feature_bc_matrix.h5'
'WT20/filtered_feature_bc_matrix.h5''WT26/filtered_feature_bc_matrix.h5'
h5_read <- lapply(paste0("/Users/alexeyefanov/Desktop/Programming/biobase/GSE193462/output/", files), Read10X_h5)
Next step is creating the Seurat object. The Seurat object is used to store the raw count matrices (located in h5_read), metadata, and processed data, plots etc. The CreateSeuratObject() method is used to create the Seurat object. This object has several arguments including min.cells and min.features. For example, min.cells = 3 will filter out genes that are present in less than 3 cells. min.features=200 will filter out cells containing less than 200 expressed genes. To create the Seurat object we assign names to matrices
names(h5_read)<- sapply(files,
function(x){str_split_1(x,"/")[1]}
)
names(h5_read)
'D10''D16''D20''D26''WT10''WT16''WT20''WT26'
adp <- mapply(CreateSeuratObject,counts=h5_read,
project=names(h5_read),
MoreArgs = list(min.cells = 3, min.features = 200))
The adp object is a list of 8 seurat objects. To further proceed with analysis all seurat objects should be merged. There is a potential problem with merging seurat objects since cell barcodes can overlap between different samples and duplicated barcodes will be dropped. To avoid it the add.cell.id argument should be used. The add.cell.id argument value will be added to barcode name. The simplest way is to set up the add.cell.id argument's value equals to sample name.
adp <- merge(adp[[1]], y = adp[2:length(adp)],
add.cell.ids = names(adp),project="Adipose")
adp
An object of class Seurat
24912 features across 49138 samples within 1 assay
Active assay: RNA (24912 features, 0 variable features)
8 layers present: counts.D10, counts.D16, counts.D20, counts.D26, counts.WT10, counts.WT16, counts.WT20, counts.WT26
The adp object has 13 slots:
slotNames(adp)
'assays''meta.data''active.assay''active.ident''graphs''neighbors''reductions''images''project.name''misc''version''commands''tools'
Each slot can be accessed using @ notation, for example:
adp@assays
$RNA
Assay (v5) data with 24912 features for 49138 cells
First 10 features:
Xkr4, Gm1992, Gm19938, Rp1, Sox17, Mrpl15, A930006A01Rik, Lypla1,
Tcea1, Rgs20
Layers:
counts.D10, counts.D16, counts.D20, counts.D26, counts.WT10,
counts.WT16, counts.WT20, counts.WT26
meta.data is a slot of the seurat object and can be accessed through @ notation.
head(adp@meta.data)
A data.frame: 6 × 3
orig.ident nCount_RNA nFeature_RNA
D10_AAACCCAAGATGCTTC-1 D10 13602 4182
D10_AAACCCAAGCTCTTCC-1 D10 38649 6789
D10_AAACCCAAGTCATCGT-1 D10 31695 5694
D10_AAACCCAGTAGCGTCC-1 D10 21310 4959
D10_AAACCCAGTGCACGCT-1 D10 28390 4977
D10_AAACCCAGTGTAAATG-1 D10 5835 2276
orig.ident - sample's labelsthe meta.date data frame should be updated with type of mice (condition) and time points (time_point) information. The combination of condition and time_point will be added as well.
adp$condition <- ifelse(str_detect(adp@meta.data$orig.ident, "^W"),
"WT","DKO")
adp$time_point <- ifelse(str_detect(adp@meta.data$orig.ident, "0"),
"Day 0","Day 6")
adp$cond_tp <- paste(adp$condition, adp$time_point)
adp@meta.data %>%
ggplot(aes(x=orig.ident, fill=orig.ident)) +
geom_bar(color="black") +
stat_count(geom = "text", colour = "black", size = 3.5,
aes(label = after_stat(count)),
position=position_stack(vjust=0.5))+
theme_classic() +
theme(plot.title = element_text(hjust=0.5, face="bold")) +
ggtitle("Number of Cells per Sample")
ggsave("seurat_barplot.png")
Saving adp object in R Data Serialization (RDS) format
saveRDS(adp,"/Users/alexeyefanov/Desktop/Programming/biobase/GSE193462/output/merged_Seurat_adp1.rds")
adp[["percent.mt"]] <- PercentageFeatureSet(adp, pattern = "^mt-")
metadata <- adp@meta.data
The percent.mt thresholds will be set up based on visualization of percent.mt in WT and DKO mice
cnames<-setNames(rep(c("cyan3","darkgoldenrod1"),each=4),levels(factor(metadata$orig.ident)))
levels(factor(metadata$orig.ident))
cnames
'D10''D16''D20''D26''WT10''WT16''WT20''WT26'
D10'cyan3'D16'cyan3'D20'cyan3'D26'cyan3'WT10'darkgoldenrod1'WT16'darkgoldenrod1'WT20'darkgoldenrod1'WT26'darkgoldenrod1'
VlnPlot(adp, features = "percent.mt", group.by="orig.ident") +
scale_fill_manual(values=cnames) +
geom_hline(yintercept=10,color="red")
Selected filtration criteria:
Day 0:
nFeature_RNA > 350
nCount_RNA >650
percent.mt <10
Day 6:
nFeature_RNA > 350
nCount_RNA >650
percent.mt <25
t0<- metadata |> filter(time_point=="Day 0", nFeature_RNA > 350,
nCount_RNA >650, percent.mt <10 ) |>
rownames_to_column("Cell") |> pull(Cell)
t6<- metadata |> filter(time_point=="Day 6", nFeature_RNA > 350,
nCount_RNA >650, percent.mt <25 ) |>
rownames_to_column("Cell") |> pull(Cell)
keep<-c(t0,t6)
adp_filt<-subset(adp, cells=keep)
Saving the adp_filt object in R data serialization (rds) format.
saveRDS(adp_filt,"/Users/alexeyefanov/Desktop/Programming/biobase/GSE193462/output/adp_merge_filt1.rds")
library(sctransform)
library(glmGamPoi)
adp_filt<-readRDS("/Users/alexeyefanov/Desktop/Programming/biobase/GSE193462/output/adp_merge_filt_sctran_clust0.1.rds")
adp_filt <- RunPCA(adp_filt, verbose = FALSE, assay="SCT")
options(repr.plot.width=10, repr.plot.height=10)
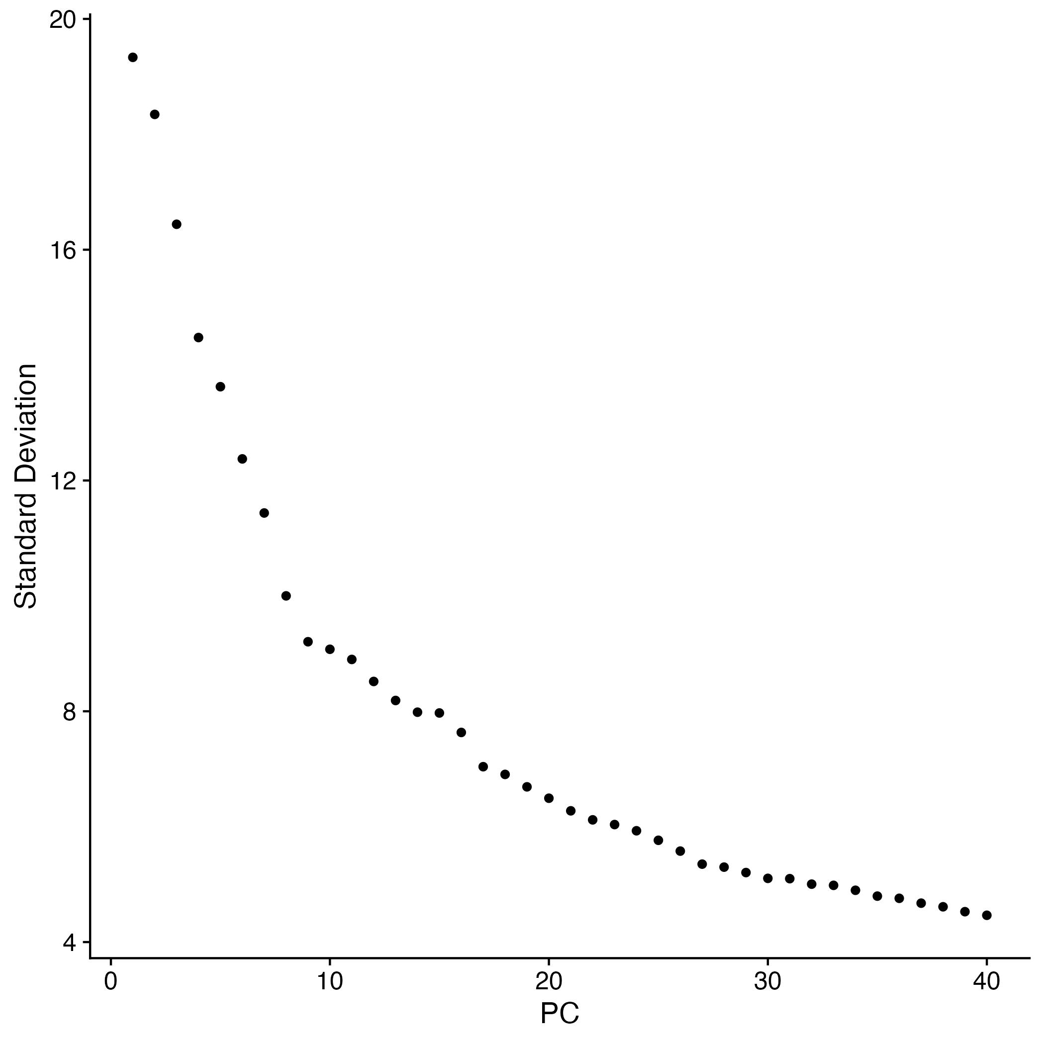
ElbowPlot(adp_filt, ndims = 40)
ggsave("elbow.jpg")
The majority of variation is captured by around 30 PC.
adp_filt <- FindNeighbors(adp_filt, dims = 1:30)
adp_filt <- FindClusters(adp_filt, resolution = 0.1)
The above commands create the SCT_snn_res.0.1 and seurat_clusters columns in meta.data.
Modularity Optimizer version 1.3.0 by Ludo Waltman and Nees Jan van Eck
Number of nodes: 42502
Number of edges: 1423435
Running Louvain algorithm...
Maximum modularity in 10 random starts: 0.9509
Number of communities: 9
Elapsed time: 8 seconds
adp_filt <- RunUMAP(adp_filt,dims = 1:30)
contam=c("Ptprc", "Plp1", "Pecam1")
VlnPlot(adp_filt, features=contam)
ggsave("contam.jpg")
FeaturePlot(adp_filt,features=contam)
ggsave("contam_cluster.jpg")

adp<-adp_filt
Idents(adp) = "SCT_snn_res.0.1"
`%not_in%` <- purrr::negate(`%in%`)
adp <- subset(adp, subset=seurat_clusters %not_in% c(5,7, 8))
adp<-PrepSCTFindMarkers(adp, verbose=T)
Idents(adp) = "SCT_snn_res.0.1"
DefaultAssay(adp) = "SCT"
de_allClusters = FindAllMarkers(adp, test.use="wilcox", min.pct=0.1, logfc.threshold = 0.25, only.pos=TRUE)
de_allClusters %>%
group_by(cluster) %>%
dplyr::filter(avg_log2FC > 1) %>%
slice_head(n = 5) %>%
ungroup() -> top5
head(top5)
options(repr.plot.width=8, repr.plot.height=8)
DoHeatmap(adp,features = top5$gene, slot="scale.data")
ggsave("doheatmap.jpg")
Idents(adp) = "time_point"
day6_day0_de=FindMarkers(adp,ident.1="Day 6",ident.2="Day 0",test.use="wilcox")
fig1 = DimPlot(adp,group.by="time_point")
fig2 = FeaturePlot(adp,features="Acta2",order=T)
fig3 = FeaturePlot(adp,features="Cd36",order=T)
fig1/(fig2|fig3)
ggsave("dimplot_time_point.jpg")
Acta2 is a marker of day 0, while cd36 is a marker of day 6.
pseudo_adp=AggregateExpression(adp,assays="RNA", return.seurat=T, group.by=c("orig.ident","time_point","condition","cond_tp"))
pseudo_adp = RenameCells(pseudo_adp,new.names=gsub("_.*","",pseudo_adp$orig.ident))
pseudo_adp$orig.ident=gsub("_.*","",pseudo_adp$orig.ident)
At this point, the count matrix of the pseudo_adp object can be feed into DESeq2 or edgeR for further analysis (pseudo_adp@assays$RNA$counts)
Idents(pseudo_adp)="time_point"
bulk_adp_de = FindMarkers(pseudo_adp, ident.1="Day 6", ident.2="Day 0", test.use="DESeq2")
scDE.genes = rownames(day6_day0_de)[which(day6_day0_de$p_val_adj<0.05)]
bulkDE.genes = rownames(bulk_adp_de)[which(bulk_adp_de$p_val_adj<0.05)]
length(scDE.genes)
length(bulkDE.genes)
length(intersect(scDE.genes,bulkDE.genes))
11306
10516
8503
Significant overlap observed between single cell and pseudobalk analysis
bulk_adp_de[c("Acta2","Cd36"),]
p_val avg_log2FC pct.1 pct.2 p_val_adj
Acta2 1.256361e-274 -5.544797 1 1 3.129847e-270
Cd36 3.224132e-78 4.955947 1 1 8.031959e-74
options(repr.plot.width=7, repr.plot.height=7)
Idents(adp)="SCT_snn_res.0.1"
DotPlot(adp,features=unique(top5$gene),dot.scale = 3)+coord_flip()
ggsave("dotplot_DE_genes.jpg")
Another visualization of DE expressed genes is the violin plot
options(repr.plot.width=7, repr.plot.height=7)
Idents(adp) = "time_point"
VlnPlot(adp,features=c("Acta2","Cd36"),alpha = 0.1)
ggsave("violin_time_point.jpg")
Cell anotation
Annotation by DE Markers was obtained from the paper:
Mmp3: preadipocytes
Mki67: proliferating cells
Fabp4: differentiating beige adipocytes and differentiated beige adipocytes
Scd1: differentiated beige adipocytes
Ucp1: differentiated beige adipocytes
Ppargc1a: differentiated beige adipocytes
Elovl3: differentiated beige adipocytes
Cidea: differentiated beige adipocytes
markers=c("Mmp3","Mki67","Fabp4","Scd1","Ucp1","Ppargc1a","Elovl3","Cidea", "Col5a3", "Serpina3n")
Idents(adp)="SCT_snn_res.0.1"
avgExp = AverageExpression(adp,markers,assay="SCT")$SCT
DimPlot(adp,label=T, label.size=6)
ggsave("dimplot_cluster_labels.jpg")
options(repr.plot.width=20, repr.plot.height=20)
FeaturePlot(adp,features=markers,ncol=3,order=T)
ggsave("Feature_plot_markers.jpg")
From the above graphs we can coclude:
Preadipocytes: Clusters 0 (Mp3)
Proliferating cells: Clusters 2, 6 (Mki67)
Differentiating beige adipocytes: Cluster 1
Differentiating adipocytes: Cluster 1, 4
options(repr.plot.width=10, repr.plot.height=12)
adipocyte=vector(length=ncol(adp))
adipocyte[which(adp$SCT_snn_res.0.1 %in% c(0))]="Preadipocytes"
adipocyte[which(adp$SCT_snn_res.0.1 %in% c(2,6))]="Proliferating cells"
adipocyte[which(adp$SCT_snn_res.0.1 %in% c(1,4))]="Differentiating adipocytes"
adipocyte[which(adp$SCT_snn_res.0.1 %in% c(3))]="Differentiated beige adipocytes"
adp$adipocyte = adipocyte
f1 = DimPlot(adp,group.by="SCT_snn_res.0.1",label=T) + NoLegend()
f2 = DimPlot(adp,group.by="time_point") + NoLegend()
f3 = DimPlot(adp,group.by="adipocyte",label=T)+NoLegend()
(f1|f2)/f3
ggsave("final_labelling.jpg")
Conclusion: Preadipocytes and proliferating cells are mapped to day 0, while differentiated adipocytes, and differentiated beige adipocytes are mapped to day 6. There is a slight difference between the paper labeling and the current analysis labeling that can be attributed to the different reference transcriptome (2024 release year for the current analysis and 2020 release year in the paper analysis), cellranger and seurat versions.